キラル性を活用し、リサイクルを実現:CTSOAt ― 次世代多機能合成ツール

11/28/2025

カップリング試薬の開発は飛躍的に進歩している。

1. 背景紹介

伝統的な試薬から、常に生み出される斬新な設計に至るまで、これらはペプチド合成技術の革新を大きく推進してきました。新世代の試薬は合成効率と純度を大幅に向上させ、ペプチド結合の構築をより効率的かつ正確にするとともに、ライフサイエンスや新薬の研究開発に不可欠なツールを提供しています。

2. CTSOAt:

3H-[1,2,3]トリアゾロ[4,5-b]ピリジン-3-イル 5-クロロチオフェン-2-スルホネート(略称:CTSOAt、構造は下図参照)は、CO、CN、CC結合の形成を促進する新規多機能カップリング試薬であり、リサイクル可能です。安定性に関しては、この試薬は0℃で半年安定して保管できます。また、実験的証拠によると、CTSOAt分子内の主要な結合はSN結合ではなくSO結合を介しており、前者は結合エネルギーが低いため、全体的な構造がより安定しています。さらに、熱安定性に潜在的な危険性があるHOAtと比較して、CTSOAtはDSCおよびTGA試験により優れた熱安定性を有することが証明されています。

CTSOAt
特筆すべきことに、長期検証の結果、HOAt構造に基づくカップリング試薬は、一般的に優れたラセミ化阻害能を示すことが実証されています。CTSOAtはHOAtの構造部位を保持するだけでなく、そのチオフェン構造がカルボン酸と良好な相互作用を形成し、立体配置の保持をさらに促進します。

3. アプリケーション

新規かつ多機能で高効率なカップリング試薬であるCTSOAtは、アミド化およびエステル化反応を促進するだけでなく、鈴木反応にも関与してカルボン酸からケトン化合物への変換を実現します。

1. アミドとポリペプチド

(1) アミド合成
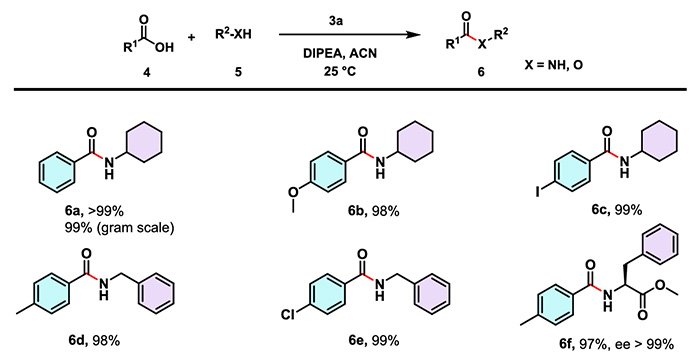
マンダル・ブバネシュワール率いる研究チームは、芳香族酸(電子吸引性基および電子供与性基を有する)、(長鎖)脂肪酸、そして芳香族アミン、脂肪族アミン、立体障害アミンなどのアミン化合物を対象に、CTSOAtのアミド合成への適用性を体系的に評価しました。実験結果によると、目的化合物の収率は概ね90%を超えました。塩基感受性のFmoc保護基を含む基質であっても、CTSOAtは反応を効率的に触媒し、対応するアミドをスムーズに生成しました。

CTSOAt

(2) ペプチド合成
CTSOAtは、同様の条件下で、様々な保護基や立体障害のある部位を含むジペプチドおよびトリペプチドの合成にも成功しています。反応は高収率と優れた立体配置保持を示し、複雑なペプチドセグメントの組み立てにおけるその適用性を十分に実証しています。
CTSOAt

(3) 固相合成
固相合成では、環境に優しい10% DMSO/酢酸エチル溶媒系を採用し、Fmoc/t-Bu法を用いてRinkアミドMBHA樹脂上でペプチド配列を合成した。CTSOAtは、試験した全ての配列において良好な収率を達成した。特に、アミロイドβ(Aβ)のコアフラグメント類似体であるKLVFFの合成では、収率は56%に達したのに対し、同条件下でのHATUの収率はわずか27%であった。

CTSOAt

(4) 薬物修飾CTSOAtは、ゲムフィブロジルやインドメタシンなど、様々な薬物分子のアミド化構造修飾にも適用できます。これらの事例は、立体障害や反応性の低いアミンを含む反応におけるCTSOAtの実用的価値をさらに実証しています。

(5) ラセミ化試験CTSOAtのラセミ化阻害能を徹底的に評価するため、Mandal Bhubaneswar氏率いる研究チームは、現在主流のカップリング試薬(例:DEPBT、HBTU)との水平比較を実施しました。その結果、CTSOAtは短期間で95%の収率で目的化合物を生成でき、ラセミ体は全く検出されないことが実証されました。
CTSOAt

2. エステル合成

CTSOAtはエステル化合物の合成にも同様に応用できます。アミン化合物と比較して、求核性の弱いアルコールから合成したエステルの収率は、アミドよりも一般的に低くなります。それでも、収率は80%を超える場合があり、生成物は優れた立体配置保持を示します。

CTSOAt

CTSOAt が媒介するこのようなカップリング反応の反応機構は次のとおりです。

CTSOAt
塩基の作用下で、カルボン酸はCTSOAtを攻撃し、混合無水物中間体を形成する。続いて、HOAt部位の酸素アニオンが混合無水物を攻撃し、活性化OAtエステルを生成する。最後に、アルコール/アミンが求核攻撃を開始し、対応するエステルとアミドを与える。この反応中、5-クロロチオフェン-2-スルホン酸とHOAtが副生成物として生成される。塩化チオニルで処理することで、これら2つの副生成物からCTSOAtを50%の回収率で回収することができる。

3. ケトン合成

CTSOAtは、従来のカップリング反応に加え、鈴木カップリング反応にも利用でき、カルボン酸をケトン化合物に変換することができます。電子吸引基、電子供与基、あるいは立体障害のある置換基を有するカルボン酸やボロン酸は、いずれも中程度から良好な収率で目的化合物を与えます。

CTSOAt
具体的な反応メカニズムは次のとおりです。Pd 触媒下では、酸化的付加、金属交換、還元的脱離などのプロセスを通じて、カルボン酸からケトンへの変換が達成されます。

CTSOAt

4. 全体的な結論

CTSOAtは、優れた官能基許容度と立体障害許容度を備えた、新規かつリサイクル可能なカップリング試薬です。この試薬は、アミドやエステルの合成を効率的に促進し、ラセミ化の発生を著しく抑制するだけでなく、薬物分子の修飾や固相合成において幅広い応用の可能性を示しています。さらに、鈴木カップリング反応にも関与し、カルボン酸をケトン化合物に変換することができます。つまり、CTSOAtの開発は、合成化学および関連分野に新たな強力なツールを提供します。

ハイファインバイオテックについて

蘇州ハイファインバイオテック株式会社(証券コード:301393.SZ)は、2003年に設立され、蘇州ハイテク開発区に本社を置く国家ハイテク企業です。世界中の医薬品研究開発・製造企業に特殊原料を供給することに注力しています。

当社の製品は主にペプチド合成、ヌクレオチド合成、医薬品合成などの分野に応用されており、アミド結合形成用の特殊カップリング試薬、保護試薬、リンカー、抗体薬物複合体(ADC)用タンパク質架橋剤、分子ビルディングブロック、リポソーム、リン試薬など、幅広い分野を網羅しています。これまでに、合計1,500種類以上の製品の研究開発・生産経験を積んでいます。

20年以上にわたるたゆまぬ努力と蓄積を経て、ハイファインバイオテックは世界のペプチド合成試薬分野に深く関わってきました。現在では、幅広いカスタム製品ラインナップと明確な大規模生産の強みを持つリーディングカンパニーへと成長し、様々な顧客の具体的なニーズに対応しています。

当社の製品にご関心をお持ちのお客様は、詳細や今後の協力の可能性についてご相談に応じますので、どうぞお気軽にお問い合わせください。

参考文献:
[1] Roy, ​​S.; Rahaman, SR; Sarkar, A., Mandal, B. Sulfonate Derivative of HOAt (CTSOAt) as a Coupling Reagent for the Construction of C−N, C−O, and C−C Bonds[J]. J. Org. Chem. 2025, 90, 34, 12061–12079.


関連商品

ご興味のある関連商品をご紹介いたします。ご不明な点がございましたら、お気軽にお問い合わせください。

DCC; N,N'-Dicyclohexylcarbodimide

CAS RN

538-75-0

Appearance

White crystal or light yellow liquid

Purity

≥99%

もっと詳しく知る...

(S)-2-(tert-butoxycarbonyl)pent-4-enoic...

CAS RN

221352-64-3

Appearance

White to off white solid

Purity

>97%

もっと詳しく知る...

2-hydroxyacetamide

CAS RN

598-42-5

Appearance

White to off-white or pale yellow powder

Purity

もっと詳しく知る...

4-(TRIFLUOROMETHYL)BENZOIC ANHYDRIDE

CAS RN

25753-16-6

Appearance

Off-white to white crystalline powder

Purity

≥98.0% GC

もっと詳しく知る...

お問い合わせ

ペプチド合成試薬のお見積もりは下記のフォームにご記入ください。

Thank you! Your message has been sent.
Unable to send your message. Please fix errors then try again.
連絡先

Search

人気のキーワード: TBTU, HBTU, HOBT, HOPO

伝言を残す

ご訪問いただきありがとうございます。 メッセージを残してください。メールで返信させていただきます。

連絡先