ゼロラセミ化合成における新たなブレークスルー:効率的な縮合試薬の開発と応用

7/3/2025

アミノ酸のラセミ化は分子全体の配置と生物活性に影響を与え、分離の難易度を高めます。ラセミ化を起こさないカップリング試薬の登場により、ラセミ化のリスクが効果的に回避され、ペプチドの精製の難易度と大規模合成コストが大幅に削減されました。現在、このタイプの試薬はペプチド合成における重要なツールとなっています。

1. イナミド(趙試薬)

アルキナミド縮合試薬は、趙俊鋒教授によって開発された非ラセミ化縮合試薬の一種であり、総称して趙試薬と呼ばれています(代表的な化合物を図1に示します)。これらの試薬が関与する縮合反応は、追加の触媒を必要とせず、空気および水に対する耐性に優れています。目的のアミドは中性付近の条件下で得られるため、アルカリによるラセミ化の問題を回避できます。趙試薬は、「2段階ワンポット」合成戦略(図2)を通じて、アミド、マクロライド、チオアミドなどの活性分子の構築に成功しています。詳細については、「新型の高効率非ラセミ化アルキナミド縮合試薬」をご覧ください。

図1 趙試薬

趙試薬媒介縮合反応
図2 Zhao試薬による縮合反応

2. アレノン

趙俊鋒教授の研究グループは、ケトンを介したアミド結合法を開発しました。この方法は、アミド結合構築のための新たなソリューションを提供します。この方法は、追加の触媒や添加剤の関与を必要としません。その反応経路は、カルボン酸とケトンの反応によりエステル中間体を生成し、その後アミンと反応させて対応するアミド生成物を得るというものです。これにより、ラセミ化のリスクを回避し、その他の副反応の発生を低減します。同時に、様々な天然アミノ酸および非天然アミノ酸への幅広い適応性を示しています。(図3)

フェニルアレノンを介した縮合反応
図3 フェニルアレノンを介した縮合反応

3. オキシマシリーズ

オキシマは、縮合反応において従来のベンゾトリアゾール試薬を凌駕する画期的な利点を有することが証明されたため、科学者の注目を集め、高効率、ラセミ化なし、爆発リスクなしといった特徴を持つ一連のオキシマ誘導体が開発されました。下図は、ラセミ化を起こさない代表的なオキシマ系誘導体を示しています(図4参照)。反応後のオキシマ副産物はリサイクル・再生が可能で、対応する誘導体に再生できるため、化学廃棄物の排出量を最小限に抑えることができます。現在、オキシマ系誘導体は、アミドやエステルなどの重要な構造単位の構築に成功しています。詳細な紹介については、「Boc-オキシマ:「一剤二効」で新たなグリーン合成システムを構築する」をご覧ください。

オキシマ系誘導体
図4 オキシマ誘導体

4. TCFH-NMI

N,N,N',N'-テトラメチルクロロホルムアミジンヘキサフルオロホスフェート(TCFH)とN-メチルイミダゾール(NMI)の組み合わせは、ブリストル・マイヤーズ スクイブ社が開発した高効率のアミド縮合システムです。この黄金の組み合わせは、反応性の高いN-アシルイミダゾリウム塩をその場で生成することで縮合反応を促進します(図5参照)。適用可能な基質の範囲が広く、ジアステレオ異性化が起こらないなどの技術的利点があり、特に低活性アミンや立体障害の大きいカルボン酸を含む縮合反応に適しています。詳細については、「効率的な酸-アミン縮合のための黄金の組み合わせ:TCFH-NMI」をご覧ください。

TCFH-NMI媒介縮合反応
図5 TCFH-NMIを介した縮合反応

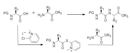
5. シャンシャン試薬

CMPI(2-クロロ-1-メチルピリジニウムヨウ化物)は、向山試薬とも呼ばれ、操作が簡便で後処理も容易なため、商業価値の高い縮合試薬です。CMPIを用いた縮合反応は、通常、弱アルカリ性条件下で行われます。カルボン酸を活性化してカルボン酸エステルを形成し、その後、求核攻撃によるアミノリシス反応およびアルコーリシス反応を起こし、鍵となる構造単位を効率的に構築します。また、優れた官能基適合性とラセミ化抑制能も備えています(図6)。

向山試薬による縮合反応
図6 向山試薬による縮合反応

6. NDTP

王睿院士の研究グループが開発した5-ニトロ-4,6-ジチオシアナトピリミジン(NDTP、図7)は、温和で入手しやすく、リサイクル可能な新しい縮合試薬です。NDTPはカルボン酸からアシルチオシアネート中間体を形成します。この中間体は高い安定性とアシルクロリド様活性を有し、その後、アミン/アルコール試薬によって分解され、ラセミ化を起こさずに速やかに結合を形成します(図8)。注目すべきは、NDTPを介したエステル化反応において、温和な条件下では1分でエステルを形成できることです。

NDTP構造
図7 NDTP構造

NDTP媒介縮合反応
図8 NDTP媒介縮合反応

7. T3P

n-プロピルホスホン酸無水物(T3P)とピリジンの穏やかな組み合わせが、アミド結合を構築するために開発されました。このシステムは、ラセミ化し易い様々な基質のカップリング反応を促進し、高収率かつ高エナンチオ純度のアミドを得ることができます。現在、T3Pは監視対象化学物質に指定されており、輸送、使用、保管などが制限されています。代替として、n-ブチルホスホン酸無水物(T4P)は、同等、あるいはそれ以上の反応効率と立体制御能を提供します(図9)。

T3PとT4Pの構造
図9 T3PとT4Pの構造式

8. その他の試薬

上記の主流試薬に加えて、シラン、無水ホウ酸などの一連の物質も、高い活性化能力、幅広い基質適用性、優れたラセミ化阻害能力を特徴とする縮合試薬として徐々に使用されるようになっています。

T3PとT4Pの構造

22 年間のたゆまぬ努力と蓄積を経て、Haofan Biotech は世界的なペプチド合成試薬の分野で存在感を深め続け、現在では幅広いカスタマイズ製品に対応できる能力と大幅なスケールメリットを備えたリーディングカンパニーに成長しました。 現在ではさまざまな顧客の特定のニーズを満たすために、さまざまな仕様のラセミ化抑制試薬を供給することができます。 この製品にご興味のあるお客様は、ぜひ弊社にご連絡いただき、製品の詳細を知り、協力の機会を探っていただければ幸いです。

参考文献:
[1] Duengo, S.; Muhajir, M. I.; Maharani, R.; et al. Epimerisation in Peptide Synthesis[J]. Molecules, 2023, 28, 8017.
[2] Guo, Y. Y.; Wang, M. Y.; Gao, Y.; Liu, G. D. Recent advances in asymmetric synthesis of chiral amides and peptides: racemization-free coupling reagents[J]. Org. Biomol. Chem., 2024, 22, 4420-4435.
[3] Wang, X.W.; Yang, Y.; Zhao, J.F.; et al. Ynamide-Mediated Intermolecular Esterification[J]. J. Org. Chem. 2020, 85, 6188-6194.
[4] Wang, Z.N.; Wang, X.W.; Wang, P.H.; Zhao, J.F. Allenone-Mediated Racemization/Epimerization-Free Peptide Bond Formation and Its Application in Peptide Synthesis[J]. J. Am. Chem. Soc., 2021, 143, 10374-10381.
[5] Beutner, G.L.; Young, I.S.; Ye, Q.M.; et al. TCFH−NMI: Direct Access to N‑Acyl Imidazoliums for Challenging Amide Bond Formations[J]. Org. Lett. 2018, 20, 4218-4222.
[6] Li, Y.P.; Wang, P.; Wang, R.; et al. NDTP Mediated Direct Rapid Amide and Peptide Synthesis without Epimerization[J]. Org. Lett., 2022, 24, 1169-1174.

関連商品

ご興味のある関連商品をご紹介いたします。ご不明な点がございましたら、お気軽にお問い合わせください。

DCC; N,N'-Dicyclohexylcarbodimide

CAS RN

538-75-0

Appearance

White crystal or light yellow liquid

Purity

≥99%

もっと詳しく知る...

(S)-2-(tert-butoxycarbonyl)pent-4-enoic...

CAS RN

221352-64-3

Appearance

White to off white solid

Purity

>97%

もっと詳しく知る...

2-hydroxyacetamide

CAS RN

598-42-5

Appearance

White to off-white or pale yellow powder

Purity

もっと詳しく知る...

4-(TRIFLUOROMETHYL)BENZOIC ANHYDRIDE

CAS RN

25753-16-6

Appearance

Off-white to white crystalline powder

Purity

≥98.0% GC

もっと詳しく知る...

お問い合わせ

ペプチド合成試薬のお見積もりは下記のフォームにご記入ください。

Thank you! Your message has been sent.
Unable to send your message. Please fix errors then try again.
連絡先

Search

人気のキーワード: TBTU, HBTU, HOBT, HOPO

伝言を残す

ご訪問いただきありがとうございます。 メッセージを残してください。メールで返信させていただきます。

連絡先