ペプチド化学および医薬品合成における多機能活性化剤—DSC

8/30/2024

N,N'-ジスクシンイミジル カーボネート (略して DSC) は、活性エステルを調製するための多機能試薬であり、さまざまな求核反応におけるホスゲンの代替品です。 DSC は水分に敏感で、水環境ではすぐに水和して二酸化炭素を放出し、NHS を生成します。非水環境では、DSC のさまざまな有機溶媒への溶解度は、特に複雑な多糖官能基化の合成において、その反応効率と残留物除去に影響を与える重要な要素の 1 つです。表 1 は、一般的な有機溶媒への DSC の溶解度を示しています。生成物中の溶解度は、反応条件を選択するための基準となります。

表1 DSCの有機溶媒への溶解度

溶媒 ジクロロメタン アセトン アセトニトリル テトラヒドロフラン 酢酸エチル イソプロピルアルコール DMMF の DMSO
溶解度(mg/mL) 2 14 34 3 4 2 88 >250

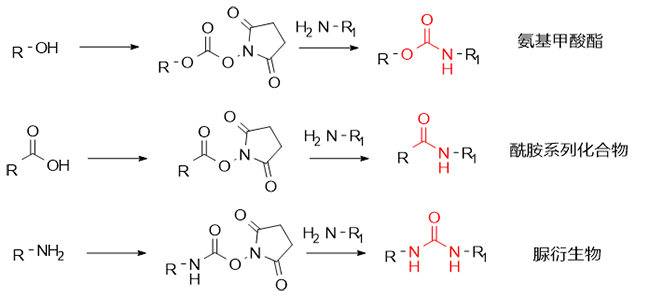
DSC は、ペプチド合成、薬物設計、核酸修飾などの分野で幅広い用途があります。その穏やかな反応条件と高効率のカップリング特性により、尿素誘導体やカルバメート化合物の合成において重要な役割を果たします。同時に、DSC はアミドやチオリン脂質のカップリング試薬としても一般的に使用されています。炭酸塩、カルボン酸活性エステル、対応するカルバメートスクシンイミジルエステルの形成を促進し、さらにアミン分子と反応することで、対応するカルバメート、アミド、尿素誘導体が効率的に合成されます (図 1 を参照)。

DSCを介した合成経路
図1 DSCを介した合成経路

I. カルバメート化合物の合成

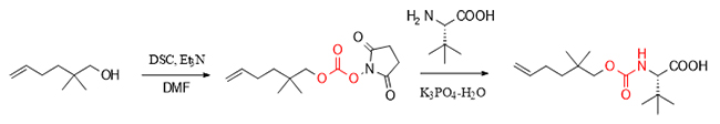
カルバメート化合物は、その幅広い用途と、医薬品、農薬、コーティング、有機合成における重要性から、多くの注目を集めています。DSCは効率的な活性剤として、アルコールや立体障害のあるアミノ酸からのカルバメート化合物の合成を促進するだけでなく、HIV治療薬ダルナビルなどのカルバメート系薬剤の重要な合成ステップで中核的な役割を果たし、生化学における複雑な分子フラグメントのスプライシングを実現します。
具体的には、抗C型肝炎薬バニルビルの重要な中間体の合成において、DSCはアルコールを活性化し、次に立体障害の大きいL-tert-ロイシンと反応させることで、目的のカルバメート化合物を効率的に合成しました。

DSCを介した合成経路
HIV 薬ダルナビル分子の合成において、DSC はヒドロキシル基を持つ活性エステルを形成することにより 2 つの重要なフラグメントのスプライシングを達成しました。

DSCを介した合成経路
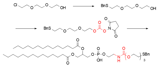
さらに、チオリン脂質の合成においても、DSC は優れたカップリング性能を発揮しました。ヒドロキシル基で活性化し、次に DMPE のアミノ基とスプライシングすることで、カルバメート結合でつながれたチオリン脂質が実現しました。
DSCを介した合成経路

2. 尿素誘導体の合成

尿素機能フラグメントは、多くの薬物分子の重要な構造として、分子活性と物理化学的特性の調節に重要な役割を果たします。放射性イメージング剤ピフルフォラスタット F-18 の合成では、DSC はアミノ基と反応してスクシンイミドエステル中間体を生成し、さらに尿素構造フラグメントを構築し、薬物合成における柔軟性と効率性を実証しました。
DSCを介した合成経路

3. アミド系化合物の合成

アミド化合物はペプチド合成の分野における最も基本的な構造フラグメントであり、薬物合成の分野における重要な構造でもあります。活性化剤および保護剤として、DSC は化学合成においてその汎用性を実証しています。炭酸塩やスクシンイミドエステルを形成できるだけでなく、カルボキシル基との活性エステルを形成し、さらにアミン基との安定したアミド化合物を形成できます。
DSCを介した合成経路
要約すると、化学、医学、生物学の分野で DSC が幅広く応用されていることは、有機合成における DSC の重要な位置を示しています。複雑な分子の合成を促進する場合でも、基本的な化学反応に応用する場合でも、DSC は優れた反応性能を示しており、研究者にとって欠かせないツールとなっています。

関連商品

ご興味のある関連商品をご紹介いたします。ご不明な点がございましたら、お気軽にお問い合わせください。

(S)-2-(tert-butoxycarbonyl)pent-4-enoic...

CAS RN

221352-64-3

Appearance

White to off white solid

Purity

>97%

もっと詳しく知る...

2-hydroxyacetamide

CAS RN

598-42-5

Appearance

White to off-white or pale yellow powder

Purity

もっと詳しく知る...

4-(TRIFLUOROMETHYL)BENZOIC ANHYDRIDE

CAS RN

25753-16-6

Appearance

Off-white to white crystalline powder

Purity

≥98.0% GC

もっと詳しく知る...

4-Hydroxy-6-(trifluoromethyl)pyrimidine

CAS RN

1546-78-7

Appearance

White solid

Purity

>98% HPLC

もっと詳しく知る...

お問い合わせ

ペプチド合成試薬のお見積もりは下記のフォームにご記入ください。

Thank you! Your message has been sent.
Unable to send your message. Please fix errors then try again.
連絡先

Search

人気のキーワード: TBTU, HBTU, HOBT, HOPO

伝言を残す

ご訪問いただきありがとうございます。 メッセージを残してください。メールで返信させていただきます。

連絡先