新規凝縮試薬が構造と性能の両面で二重のブレークスルーを達成

10/12/2025

近年、世界のペプチド医薬品市場は持続的な急成長を遂げており、複数の治療領域で独自の優位性を示している。しかし、既存の合成システムは依然として重要な技術的課題に直面しており、副反応の制御やキラル純度の維持などが課題となっている。アミド結合構築の中核試薬として、その性能は結合形成効率、生成物の純度、収率に直接影響を与える。このため、ペプチド合成試薬の革新的開発が大きな注目を集めている。

数ある縮合試薬の中でも、HATUなどのイオン性縮合試薬は、高い反応性と優れたラセミ化抑制効果から広く用いられています。しかし、これらの試薬は高エネルギーヘテロ原子結合(NN結合やNO結合など)を含むため、熱安定性が低く、安全性に潜在的なリスクがあります。この問題を解決するため、國島らの研究チームは、2-(4,6-ジメトキシ-1,3,5-トリアジン-2-イル)-1,1,3,3-テトラメチルウロニウムヘキサフルオロホスフェート(DMT-TU)という新たな縮合試薬を開発しました。

1. DMT-TUの分子特性:

DMT-TUは、DMTMM(図1の構造参照)のテトラメチルウレア構造の高い反応性とトリアジン構造の容易な脱離性を革新的に組み合わせたものです。高い反応性とラセミ化抑制能を併せ持ちます。分子内に高エネルギーヘテロ原子結合がないため、安定性が向上しています。実験では、冷蔵庫で1年間保存しても安定性を維持することが示されています。

強力な相乗効果
図1 DMT-TU構造

さらに、DMT-TUおよびその他の縮合試薬の熱特性を示差走査熱量測定(DSC)により評価した。最低分解開始温度T0および総放出熱量Qのデータは以下のとおりである。

強力な相乗効果

表からわかるように、DMT-TU の分解温度は HATU と同等ですが、放出される総熱量は縮合試薬よりも大幅に低く、使用中および保管中の安全性が高いことがわかります。

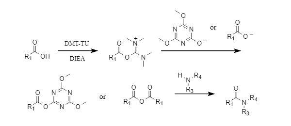
2. DMT-TUの作用機序:

DMT-TU の作用機序は次のとおりです: カルボン酸は塩基の存在下で DMT-TU と反応して O-アシルイソ尿素を形成し、次にこれがトリアジン酸塩またはカルボキシレートとさらに反応して対応するトリアジンエステルまたはカルボン酸無水物を形成し、最後にアミノ分解によってアミド化合物が得られます。

強力な相乗効果
図2 DMT-TUの作用機序

3. DMT-TUの機能:

1. 高いカップリング能:
DMT-TUはアミド結合を効率的に構築し、芳香族基質と脂肪族基質の両方に適しており、反応収率は一般的に80%を超えます(詳細は図を参照)。フェニルプロピオン酸をモデル基質としてアニリン/ジエチルアミンと反応させたところ、DMT-TUを用いることで90%を超える収率を達成しました。同条件下でDMTMMを用いた場合のアミド収率はそれぞれ73%と68%でした。これは、DMT-TUが優れた反応性を示すことを示しています。

強力な相乗効果
図3 DMT-TUによって促進される縮合反応

2. 優れたラセミ化阻害性能
優れた縮合試薬は、高い反応性に加えて、強力なラセミ化阻害能も備えている必要があります。ラセミ化しやすいアミノ酸基質との比較実験において、DMT-TUは優れたラセミ化阻害を示し、HATUやHBTUなどの従来の試薬よりも低いラセミ化率を達成しました(図4参照)。

強力な相乗効果

要約すると、新しい縮合試薬 DMT-TU は、独創的な分子設計により、高活性と高安全性の組み合わせを実現しています。これは潜在的な工業用縮合試薬であり、ペプチド合成技術のさらなる発展に新しいアイデアを提供し、重要な科学的研究価値と応用価値を持っています。

22 年間のたゆまぬ努力と蓄積を経て、Haofan Bio は世界的なペプチド合成試薬の分野での地位を深め続け、現在では幅広いカスタマイズ製品に対応できる能力と大きな大規模生産の利点を備えたリーディングカンパニーに成長し、さまざまな顧客の特定のニーズを満たすことができます。 この製品にご興味のあるお客様は、製品の詳細情報や協力の機会について、ぜひお問い合わせください。

参考文献:
[1] Mizushima, G.; Fujita, H.; Kunishima, M. Development of a Triazinyluronium-Based Dehydrative Condensing Reagent with No Heteroatomic Bonds[J]. J. Org. Chem. 2024, 89, 18660−18664.


関連商品

ご興味のある関連商品をご紹介いたします。ご不明な点がございましたら、お気軽にお問い合わせください。

DCC; N,N'-Dicyclohexylcarbodimide

CAS RN

538-75-0

Appearance

White crystal or light yellow liquid

Purity

≥99%

もっと詳しく知る...

(S)-2-(tert-butoxycarbonyl)pent-4-enoic...

CAS RN

221352-64-3

Appearance

White to off white solid

Purity

>97%

もっと詳しく知る...

2-hydroxyacetamide

CAS RN

598-42-5

Appearance

White to off-white or pale yellow powder

Purity

もっと詳しく知る...

4-(TRIFLUOROMETHYL)BENZOIC ANHYDRIDE

CAS RN

25753-16-6

Appearance

Off-white to white crystalline powder

Purity

≥98.0% GC

もっと詳しく知る...

お問い合わせ

ペプチド合成試薬のお見積もりは下記のフォームにご記入ください。

Thank you! Your message has been sent.
Unable to send your message. Please fix errors then try again.
連絡先

Search

人気のキーワード: TBTU, HBTU, HOBT, HOPO

伝言を残す

ご訪問いただきありがとうございます。 メッセージを残してください。メールで返信させていただきます。

連絡先