有機合成保護基 - アルコールヒドロキシルの保護と脱保護 (2)

3/29/2024

前回の記事では、エーテル保護基のヒドロキシル基保護への応用について説明しました。この記事では、主にエステル保護基の応用とジオールの保護を含むヒドロキシル保護戦略についてさらに説明します。さまざまな保護基の特性と適用シナリオを分析することで、ヒドロキシル保護戦略に対する理解を深め、合成プロセスでより柔軟な選択ができるようになることを願っています。

1. エステル保護基(アシル保護基)

エステル保護基は、ヒドロキシル基を保護するための経済的で効果的な方法です。これらは、カルボン酸エステル、カーボネート、スルホン酸エステルに大別され、その中でカルボン酸エステル保護基が最も一般的に使用されています。

1.カルボン酸エステル
一般的なカルボン酸エステル保護基には、アセチル(Ac)、ベンゾイル(Bz)、ピバロイル(Piv)などがあり、糖化学、ペプチド化学などの合成に広く使用されています。アシル基を導入する方法は一般的に同様です。対応するアシルクロリドまたは酸無水物は、塩基(主にピリジンとトリエチルアミン)の存在下でアルコールと反応して、対応するエステルを得ます。反応が遅すぎる場合、特に立体障害が大きい基質の場合は、DMAPを添加して反応を加速することができます。また、ポリヒドロキシ基質では、ピバロイルクロリドが第一級アルコールを選択的に保護することができます。

ハイファイン

一般に、エステル基は、K2CO3、NH3、ヒドラジン水和物などのアルカリ条件下で加水分解することにより除去できます。上記のアシル基の加水分解能力の順序は、おおよそ次のとおりです。ピバロイルPiv<ベンゾイルBz<アセチルAc。これらの保護基の加水分解の困難さを利用して、ピバロイルの存在下でアセチル基を選択的に除去できます。導入と除去の一般的な条件と例は次のとおりです。

(1)アセチル
保護:①:Ac2OまたはAcCl、Py、DMAP。②:Ac2O、TMSOTf(Cat.)、CH2Cl2、0℃。

ハイファイン
脱保護:①:K2CO3、MeOH/H2O、20℃;②:NH2NH2、MeOH

ハイファイン



(2)ベンゾイル
保護:BzCl、Et3N、CH2Cl2、0℃

ハイファイン
脱保護:①:NaOH、MeOH;②:Et3N、MeOH、H2O(1:5:1)、還流
ハイファイン
(3)ピバロイル
保護:①:PivCl、Py、0〜25℃、DCM;②:Piv2O、MgBr2、TEA、CH2Cl2、室温;

ハイファイン
脱保護:①:Bu4N+OH-、20℃;②:MeONa、MeOH

2.炭酸塩

ハイファイン
炭酸塩も水酸基を保護する手段である。これはアルカリ加水分解または第二アルキル置換基の使用によって除去することができる。一般的に使用される保護基には、9-フルオレニルメトキシカルボニル(-Fmoc)、2,2,2-トリクロロエトキシカルボニル(-Troc)などがある。導入および除去の一般的な条件と例は以下のとおりである:

(1)9-フルオレニルメトキシカルボニル:
保護:Fmoc-Cl、Py、0℃;脱保護:①:Et3N、Py;②:DBU、CH2Cl2

ハイファイン

(2)2,2,2−トリクロロエトキシカルボニル:
保護:①:Troc−Cl、Py、20℃;②:Troc−Cl、Et3N、DMAP、CH2Cl2
脱保護:①:Zn/AcOH、20℃;②:K2CO3、MeOH/H2O

ハイファイン
ハイファイン

3. スルホン酸塩

スルホン酸保護基は主に糖化合物を保護するために使用され、特定の化合物にも使用できます。一般的に使用されるものには、メタンスルホニル(Ms)、p-トルエンスルホニル(Ts)などがあります。ただし、多くの場合、スルホニル(OMs、OTs)の導入は脱離基として反応する可能性が高くなります。

ハイファイン

(1) メタンスルホニル:
保護: Ms-Cl、Et3N、CH2Cl2、0℃; 脱保護: Na(Hg)、i-PrOH

(2) p-トルエンスルホニル
: 保護: Ts-Cl、Py、CH2Cl2、0℃; 脱保護: hv、Et3N、MeOH

ハイファイン

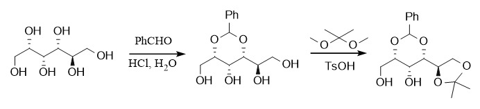
2. ジオールの保護

ジオール(1,2-ジオールおよび1,3-ジオール)は、合成設計やマクロライドなどの天然化合物で非常に一般的であり、多くの対応する保護基が誘導されています。ジオールの保護は通常、アルデヒドとケトンを使用して達成されます。同様に、アルデヒドとケトンもジオールで保護できます。一般的な保護基は、アセタールとケタールと呼ばれます。その中でも、ジオキソランとジオキサンは、ジオールの最も一般的な保護基です。熱力学的安定性の要因に基づくと、アセタール保護基は6員環、つまりジオキサンを形成する傾向があり、ケタール保護基は5員環を形成する傾向があります。たとえば、最も一般的に使用されるアセタールはベンジリデン保護基であり、導入方法にはPhCHO / ZnCl2またはH +、PhCH(OMe)2 / TsOH / DMFなどがあります。最も一般的に使用されるケタールはアセトンアセタール保護基であり、アセトンまたは 2,2-ジメトキシプロパンを使用した酸触媒によって導入されます。

アセタールとケタールは一般に酸に敏感であり、酸性条件下で脱保護できます。さらに、ベンジリデン保護基も水素化分解によって除去できます。

ハイファイン

アセタールとケタールに加えて、炭酸塩もジオールの保護に使用できます。たとえば、トリホスゲンは塩基 (Py、Et3N) の存在下で 1,2-ジオールと反応して、次のような炭酸塩を形成します。
ハイファイン

本稿では主にエステル保護基のヒドロキシル保護への応用とジオールの保護および脱保護を紹介し、合成研究における研究者の選択の幅を広げることを目的としています。実際の操作では、研究者は特定の実験条件に応じて適切な保護および脱保護戦略を選択し、より高い合成効率を達成できます。Haofan
Bioは2003年の設立以来、縮合剤、保護剤、ペプチド医薬品、リポソーム膜材料の研究、開発、販売に注力してきました。当社は現在、Fmoc-Cl / Fmoc-Osu、Troc-Cl / Troc-Osu、Tr-Cl、DMT-Clなどのさまざまな保護試薬を発売しています。ご興味をお持ちのお客様からのご連絡をお待ちしております。また、協力の機会について話し合うこともできます。


関連商品

ご興味のある関連商品をご紹介いたします。ご不明な点がございましたら、お気軽にお問い合わせください。

(S)-2-(tert-butoxycarbonyl)pent-4-enoic...

CAS RN

221352-64-3

Appearance

White to off white solid

Purity

>97%

もっと詳しく知る...

2-hydroxyacetamide

CAS RN

598-42-5

Appearance

White to off-white or pale yellow powder

Purity

もっと詳しく知る...

4-(TRIFLUOROMETHYL)BENZOIC ANHYDRIDE

CAS RN

25753-16-6

Appearance

Off-white to white crystalline powder

Purity

≥98.0% GC

もっと詳しく知る...

4-Hydroxy-6-(trifluoromethyl)pyrimidine

CAS RN

1546-78-7

Appearance

White solid

Purity

>98% HPLC

もっと詳しく知る...

お問い合わせ

ペプチド合成試薬のお見積もりは下記のフォームにご記入ください。

Thank you! Your message has been sent.
Unable to send your message. Please fix errors then try again.
連絡先

Search

人気のキーワード: TBTU, HBTU, HOBT, HOPO

伝言を残す

ご訪問いただきありがとうございます。 メッセージを残してください。メールで返信させていただきます。

連絡先