障壁を破る:RMMRによる立体的に障害のあるペプチドの効率的な合成

10/24/2025

近年、ペプチド医薬品は様々な疾患領域において独自の利点を有することから大きな注目を集めています。しかしながら、その安定性の低さと細胞膜透過性の低さが、その更なる発展を著しく制限してきました。研究により、立体障害のあるアミノ酸(N-メチル化アミノ酸やα,α-二置換アミノ酸など)をペプチド鎖に導入することで、ペプチドの安定性と膜透過性を効果的に向上できることが示されています。しかしながら、従来の固相合成法では、これらのアミノ酸を導入する際に、反応の不均一性のために反応速度が遅く、効率が低く、縮合試薬の消費量が多いという問題がありました。

前述の問題に対応するため、南京大学の姚竹軍氏のチームは、リボソームのアシル転移機構に基づいた固定化分子リアクター (RMMR) を開発しました。

RMMR 紹介:

RMMR樹脂は、Rinkアミド樹脂をベースに、Fmoc-Lys誘導体を用いて樹枝状に分散した活性部位をAM樹脂上に固定化したものです(図1)。その膨潤容量は市販の樹脂と同等であり、6ヶ月以内でも分解しない優れた安定性を備えています。

RMMRの構成

図1. RMMRの構成

このリアクターは、4つのカルボキシル活性化部位(図2参照)と1つのペプチド合成部位を樹脂に結合させます。DICおよびN-Fmocアミノ酸の存在下では、複数の活性エステル中間体が形成され、N末端アミノ基と隣接する活性化中間体(結合するのは1つのオキシアシル基のみ)間の分子内または分子間の迅速なO→Nアシル転移が促進されます。これにより、立体的に阻害されたペプチドの合成効率が向上します。最後に、ピペリジン処理によりFmoc保護基が同時に除去され、未反応の活性エステルが再生されます。その作用機序を図3に示します。

ユニバーサル活性活性剤とその誘導体

図2. ユニバーサル活性活性剤とその誘導体

RMMRの作用機序

図3 RMMRの作用機序

RMMR アプリケーション:

1. 従来のペプチド合成 従来の
ペプチド合成では、活性部位としてOxyma-CとHOBt-Cを用いたRMMA樹脂と市販のRink Amide樹脂を用いて、テトラペプチドQWRK-NH2とオクタペプチドアンジオテンシンIIアミドをそれぞれ合成した。結果を以下の表に比較する。

表1. 異なる樹脂で合成したテトラペプチドとオクタペプチドの結果の比較
異なる樹脂で合成したテトラペプチドとオクタペプチドの結果の比較

注:表の値は原油の純度を表します。

実験結果によると、RMMR 樹脂で合成したペプチドは、市販の Rink Amide 樹脂で合成したペプチドと同等の品質でした。さらに、手動合成モードで Oxyma-C RMMR 樹脂を使用して得られた粗生成物の純度は 97% でしたが、自動合成モードでの純度は 94% であり、2 つの方法で同様の結果を示しました。

2. 立体障害のあるペプチドの合成
(1) N-メチル化ペプチドの合成
N-メチル化アミノ酸を含むペプチドの合成において、RMMR 樹脂は縮合効率を大幅に向上させ、生成物の純度は最大 98% に達しますが、Rink Amide 樹脂を使用して得られた生成物の純度は、ほとんどが 20% 未満です。いくつかの例を下の図 4 に示します。

異なる樹脂を用いたN-メチル化ペプチドの合成
図4. 異なる樹脂を用いたN-メチル化ペプチドの合成

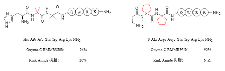
(2) α,α-ジ置換ペプチドの合成:
RMMR樹脂は、α,α-ジ置換アミノ酸(Aib、α-アミノイソ酪酸など)を含むペプチドの合成においても優れた合成能力を示します。連続する2つのα,α-ジ置換アミノ酸を含む配列(下図5参照)の場合、純度は90%以上に達します。一方、市販のRink Amide樹脂では、対応するペプチドを効率的に合成することが困難です。

異なる樹脂を用いた連続α,α-二置換ペプチドの合成
図5. 異なる樹脂を用いた連続α,α-二置換ペプチドの合成

(3)複合分子アラミテシンF類似体の合成

アラメチシンF類似体の合成
図6 アラメチシンF類似体の合成

RMMR樹脂の複雑な構造への適用性をさらに検証するため、研究チームはOxyma-C RMMR樹脂を用いて、8つのAib残基を含むアラメチシンF類似体を合成しました。実験結果から、RMMR樹脂は複雑な立体障害ペプチドに対しても同様に効率的であることが示されました。得られた粗生成物の純度は最大88%に達し、分離収率も73%に達しました。

これらの実験は、RMMR樹脂が固定化アシル基転移機構を通じて、立体障害ペプチドの合成における従来の固相合成の限界を克服し、縮合効率を大幅に向上させることを実証しています。

全体的な結論:

RMMRシリーズの樹脂は、リボソームのアシル基転移機構を模倣することで、医薬品としての可能性を秘めた立体障害のあるペプチドを効率的かつ確実に合成するソリューションを提供します。特に、N-メチル化アミノ酸およびα,α-ジ置換アミノ酸の導入に優れています。さらに、この樹脂シリーズを用いた困難なアミノ酸の合成には、市販のFmocアミノ酸とDIC試薬のみが必要であり、手動合成と自動合成の両方に対応しているため、幅広い応用が期待できます。

会社紹介:

Haofan Biotechは22年間のたゆまぬ努力と蓄積を経て、世界的なペプチド合成試薬分野を開拓し続け、現在では幅広いカスタマイズ製品と大規模生産における大きな優位性を備えたリーディングカンパニーへと成長し、様々なお客様の具体的なニーズに対応しています。本製品にご興味のあるお客様は、ぜひ当社までご連絡いただき、製品の詳細をご確認いただき、協力の機会をご検討ください。

参考文献:
[1] Wei, S.; Zhang, X.; Yao, Z., et al. Immobilized acyl-transfer molecular rearctors enable the solid-phase synthesis of sterically hindered peptides[J]. Nat. Chem. 2025, 17, 1596−1606.

関連商品

ご興味のある関連商品をご紹介いたします。ご不明な点がございましたら、お気軽にお問い合わせください。

(S)-2-(tert-butoxycarbonyl)pent-4-enoic...

CAS RN

221352-64-3

Appearance

White to off white solid

Purity

>97%

もっと詳しく知る...

2-hydroxyacetamide

CAS RN

598-42-5

Appearance

White to off-white or pale yellow powder

Purity

もっと詳しく知る...

4-(TRIFLUOROMETHYL)BENZOIC ANHYDRIDE

CAS RN

25753-16-6

Appearance

Off-white to white crystalline powder

Purity

≥98.0% GC

もっと詳しく知る...

4-Hydroxy-6-(trifluoromethyl)pyrimidine

CAS RN

1546-78-7

Appearance

White solid

Purity

>98% HPLC

もっと詳しく知る...

お問い合わせ

ペプチド合成試薬のお見積もりは下記のフォームにご記入ください。

Thank you! Your message has been sent.
Unable to send your message. Please fix errors then try again.
連絡先

Search

人気のキーワード: TBTU, HBTU, HOBT, HOPO

伝言を残す

ご訪問いただきありがとうございます。 メッセージを残してください。メールで返信させていただきます。

連絡先