TPS-Clのユニークな特性と多様な応用を探る

7/26/2024

スルホニルクロライド誘導体は、化学および生物学において様々な役割を担っており、そのユニークな化学的特性により、幅広い関心と研究の対象となっている。スルホニルクロライド誘導体は、抗菌剤、抗ウイルス剤、抗がん剤など幅広い種類の薬剤の主要な中間体である。また、塩化スルホニル誘導体は、タンパク質の機能や構造を研究するための生物学的に活性な分子のプローブとして使用することもできる。さらに、スルホニルクロライド誘導体は、エレクトロニクス、光学、生物医学など幅広い分野で応用されている高性能ポリマーや表面改質剤の合成においても重要な役割を果たしている。

2,4,6-トリイソプロピルベンゼンスルホニルクロリド(略してTPSCl)は、有機合成において最も重要な有機硫黄化合物の1つであり、医薬品、エラストマー、染料、洗剤、イオン交換樹脂、除草剤など、さまざまな合成用途に広く使用されています。TPSClはそれ自体が優れた生物活性を示し、優れた抗うつ活性を示す強力な3MDRタンパク質阻害剤であるだけでなく、図に示すように、TPSClはいくつかのプロテアーゼ阻害剤の重要な構造単位でもあることは強調する価値があります。TPSClは、潜在的な機能的価値を持つユニークな構造を示すプロテアーゼ阻害剤を構成します。

TPSCl


TPSClは有機合成の分野で広く使用されています。これは、Khoranaチームによって最初に提案され、オリゴヌクレオチドおよびポリヌクレオチド合成に応用され、C3'-C5'ヌクレオチド間の結合を構築するための高選択性縮合剤です。下の図に示すように、TPSClの作用により、最初のヌクレオチド単位の3'-リン酸基と、2番目のヌクレオチド単位の5'-ヒドロキシル基が効率的に縮合反応を起こします。添加剤を必要とせずに、安定したリン酸結合が形成されます。
TPSCl
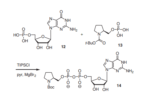
さらに、TPSCl は、フコシルトランスフェラーゼ阻害剤の可能性が示唆されているグアノシンピロリジン二リン酸誘導体などの二リン酸の​​合成にも使用できます。
TPSCl
TPSCl は、ヌクレオシド塩基の C-4 位でのカルボニルアミノ化反応においても重要な役割を果たします。その一例として、5-ヒドロキシメチル-2'-デオキシシチジン ホスホラミダイト類似体の合成が挙げられます。この合成では、TPSCl の関与によりウリジンからシチジンへの変換が達成されました。
TPSCl
もう一つの例は、井本氏のチームによるB型肝炎ウイルスに対する活性物質の合成であり、このチームもTPSClの助けを借りてカルボニルからアミノへの変換を実現しました。
TPSCl
上記の用途に加えて、TPSClは、下図に示すように、ヌクレオチドの縮合に使用されるTPSI、TPST、1-(2,4,6-トリイソプロピルベンゼンスルホニル)-1,2,3,4-テトラゾールなど、他の多機能試薬の合成のための主な原料でもあります。オレフィンの還元とヒドラゾンの合成に使用されるTSFH、およびジアジドとアジドの移動に使用される2,4,6-トリイソプロピルベンゼンスルホニルアジド。ジアゾ化とアジド移動のためのイソプロピルベンゼンスルホニルアジド。

TPSCl

参考文献:
[1] Jeelani, A.; Muthu, S.; Irfan, A.; et al. 2, 4, 6-トリ(プロパン-2-イル)ベンゼンスルホニルクロリドの実験的分光法、分子構造、電子溶媒和、生物学的予測および位相解析:抗うつ剤[J]. J. Mol. Liq. 2022, 358, 119166.
[2] Renatus, M.; Bode, W.; Huber, R.; et al. トリプシンと複合体を形成したベンザミジン系阻害剤の構造と機能解析:因子Xa、tPA、およびウロキナーゼの阻害への影響[J] J. Med. Chem. 1998, 41, 5445-5456.
[3] Colin, BR; Zhang, PZ オリゴヌクレオチドの合成へのホスホトリエステルアプローチ:再評価[J]。J. Chem. Soc.、Perkin Trans. 1、1993、2291-2301。
[4] Lin, TC; Fang, JM 活性化剤として塩化シアヌル酸またはトリイソプロピルベンゼンスルホニルクロリドを使用した二リン酸形成[J]。Tetrahedron Letters。2011、52、2232-2234。
[5] Zheng Xiu-An。特殊ヌクレオシドおよびヌクレオシドホスホリル化合物の合成方法の研究[D]。江西:江西師範大学、2019年。
[6] Onitsuka、K.、Tokuda、R.、Lmoto、S.、et al。 4'-アジドチミジン類似体および4'-アジド-2'-デオキシ-5-メチルシチジン類似体の合成と抗B型肝炎ウイルス活性の評価:新規抗HBV剤開発のための構造的洞察[J]。NUCLEOS NUCLEOT NUCL。2020、39、518-529。
[7] Narang、SA; Itakura、K.; Katagiri、N.ポリヌクレオチド合成のための新規縮合試薬[J]。JCS CHEM. COMM. 1974、325-326。


関連商品

ご興味のある関連商品をご紹介いたします。ご不明な点がございましたら、お気軽にお問い合わせください。

DCC; N,N'-Dicyclohexylcarbodimide

CAS RN

538-75-0

Appearance

White crystal or light yellow liquid

Purity

≥99%

もっと詳しく知る...

(S)-2-(tert-butoxycarbonyl)pent-4-enoic...

CAS RN

221352-64-3

Appearance

White to off white solid

Purity

>97%

もっと詳しく知る...

2-hydroxyacetamide

CAS RN

598-42-5

Appearance

White to off-white or pale yellow powder

Purity

もっと詳しく知る...

4-(TRIFLUOROMETHYL)BENZOIC ANHYDRIDE

CAS RN

25753-16-6

Appearance

Off-white to white crystalline powder

Purity

≥98.0% GC

もっと詳しく知る...

お問い合わせ

ペプチド合成試薬のお見積もりは下記のフォームにご記入ください。

Thank you! Your message has been sent.
Unable to send your message. Please fix errors then try again.
連絡先

Search

人気のキーワード: TBTU, HBTU, HOBT, HOPO

伝言を残す

ご訪問いただきありがとうございます。 メッセージを残してください。メールで返信させていただきます。

連絡先