8/26/2022
4-(テキスト-ブチルジメチルシリル)オキソ-1-ブタノールは、CAS 番号 87184-99-4 の無色から淡黄色の油状物質です。 この化合物は、1,4-ブタンジオールをTBSで単一保護することにより得られます。TBSは水酸基の保護基として使用されており、アルカリ条件下でも安定です。 この特性により、4-(テスト-ブチルジメチルシリル)オキソ-1-ブタノールは、アルカリ条件下でもう一方の末端水酸基を修飾することができます。 4-(start-ブチルジメチルシリル)-1-ブタノールのヒドロキシル基の脱水素化によるアルデヒドの生成は、抗凝固剤ベラプロストナトリウム錠の合成の中間体として使用でき、酸への酸化は合成に使用できます。 ROCK キナーゼ阻害剤やインドールアミン 2,3-ジオキシゲナーゼ (IDO) 酵素活性調節剤の合成にも直接使用できます。
01
ベラプロストナトリウムの合成
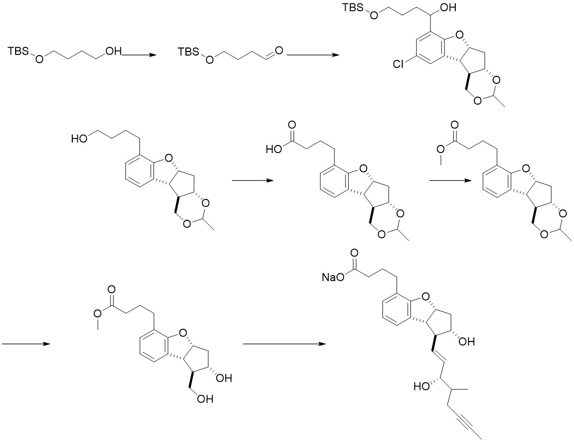
ベラプロストナトリウムは、4-(tert-ブチルジメチルシリル)オキソ-1-ブタノールを原料として製造されます。ベラプロスト(合成経路は図1を参照)はプロスタサイクリンの誘導体であり、ベンゼン環がプロスタサイクリンの二次五員環に並列に結合して分子の安定性を高めています。ベラプロストナトリウムは、抗凝固薬ベラプロストのナトリウム塩形態であり、間欠性跛行、肺高血圧症や慢性動脈閉塞症による疼痛や冷感などの症状に適しています。

図1 ベラプロストの合成
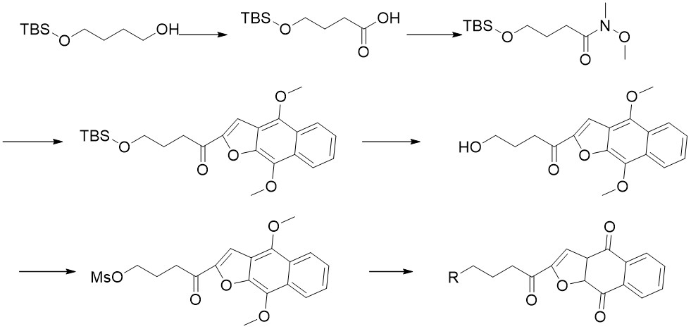
4-(tert-ブチルジメチルシリル)オキソ-1-ブタノールの保護されていないヒドロキシル基を酸に酸化して、癌細胞幹細胞抑制剤ナパブカシンの誘導体を合成することができます(合成経路については図2を参照)。ナパブカシンは、シグナル伝達および転写活性化因子STAT3経路を標的とし、癌幹細胞の活動を防ぎ、癌幹細胞の治療に使用でき、癌細胞の転移を阻害し、さまざまな癌タイプの再発の可能性のある癌を予防する能力を持つ経口ナフトキノン小分子です。しかし、ナパブカシンの溶解性が低いため、その用途は限られています。ナパブカシン誘導体は溶解性の問題をある程度改善するため、ナパブカシンは癌幹細胞の治療によりよく使用できます。

図2 ナパブカシン誘導体の合成経路
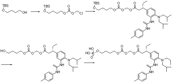
(S)-4-(3-アミノ-1-オキソ-1-(チエノ[2,3-c]ピリジン-2-イルアミノ)プロパン-2-イル)ベンジル(4-(ニトロオキシ(イル)ブチル)カーボネートは、ROCKキナーゼ阻害剤のニトロキシド誘導体です。ROCKキナーゼ阻害剤は緑内障や網膜疾患の治療に使用でき、NOは眼圧の調節において重要な生理学的役割を果たします。眼圧を効果的に下げ、網膜疾患を治療できます。その合成経路(図3を参照)は次のとおりです。

図3. ROCKキナーゼ阻害剤のニトロキシド誘導体の合成経路
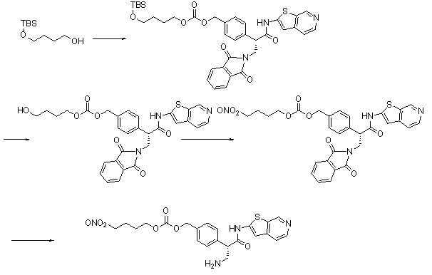
インドールアミン 2,3-ジオキシゲナーゼ IDO は免疫調節において重要な役割を果たしており、IDO の調節を通じて免疫機能が調節され、多くの疾患、障害、および状態に対する治療効果が得られます。IDO と腫瘍の間には病態生理学的なつながりがあり、免疫恒常性の破壊は腫瘍の成長と進行に密接に関連しています。腫瘍微小環境における IDO の生成は、腫瘍の成長と転移に寄与しているようです。現在、IDO 関連疾患の治療または予防のための IDO の小分子阻害剤が開発されており、4-(tert-ブチルジメチルシリル)オキソ-1-ブタノールから始まる (S)-((4-(ホスホ)ブチル)カルボニル)オキシ)メチル 3-(4-(ジイソブチル)アミノ)-3-(3-(tert-ブチル)ウレイド)フェニル)ペンタノエートなどがその例です。その合成経路 (図 4 を参照) は次のとおりです。

図4 IDOインドールアミン2,3-ジオキシゲナーゼの合成
4-(tert-ブチルジメチルシリル)オキソ-1-ブタノールは、エーテルやケトンなどの化合物に調製することもでき、さまざまな完成医薬品や医薬品中間体の合成に使用でき、良好な応用市場を持っていますが、その合成には一定の難しさがあります。合成プロセス中に、TBS保護基の二重保護副産物が生成されます。両者の沸点は近いため、蒸留による精製が困難です。同時に、両者は一般的な溶媒に対する溶解性が良く、分離が困難です。Haofan Biologyは、4-(tert-ブチルジメチルシリル)オキソ-1-ブタノールの合成と分離精製を習得しており、さらに4-(tert-ブチルジメチルシリル)オキソ-1-ブタノールの大量生産を実現し、市場に薬物合成用のより優れた中間体を提供します。
ご興味のある関連商品をご紹介いたします。ご不明な点がございましたら、お気軽にお問い合わせください。
ペプチド合成試薬のお見積もりは下記のフォームにご記入ください。