9/17/2022
アミド結合は、さまざまなポリペプチドやタンパク質などの天然の活性化合物の重要な構造官能基であるだけでなく、多くの有機化合物、特に医薬品の重要な成分でもあります。 統計によると、アミド結合を含む医薬品の割合は25%にも上り、アミド結合の合成は特に重要です。 Haofan Biology の公式アカウントにはアミド結合の合成に関する関連記事があり、それぞれの詳細な合成方法はここでは繰り返しません。 アミド結合を合成するには多くの方法がありますが、最も基本的かつ直接的な方法は、アミノ基とカルボキシル基の脱水によってアミド結合を形成することです。
1.オキシマの紹介
中国語名: エチル2-オキシムシアノ酢酸
英語名: エチル(ヒドロキシイミノ)シアノ酢酸
CAS番号: 3849-21-6

オキシマ構造
2. オキシマおよびその誘導体のカップリング試薬としての応用
1. オキシマ試薬
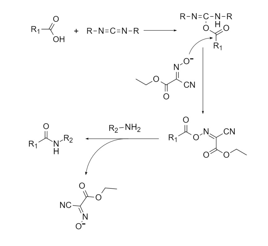
アミド結合は、各種ポリペプチドやタンパク質などの天然活性化合物の重要な構造官能基であるだけでなく、多くの有機化合物、特に医薬品の重要な成分でもあります。統計によると、アミド結合を含む薬物の割合は25%と高いため、アミド結合の合成は特に重要です。Haofan Biologyの公式アカウントにはアミド結合の合成に関する関連記事があり、それぞれの詳細な合成方法はここでは繰り返しません。アミド結合を合成する方法はたくさんありますが、最も基本的で直接的な方法は、アミノ基とカルボキシル基の脱水反応によってアミド結合を形成することです。一般的に、カルボキシル基は最初に電子吸引基と結合して活性化され、次にアンモニア、第一級または第二級アミンと反応してアミド結合を形成します。この方法では、カルボキシル基を活性化することが反応の鍵であり、ラセミ化が起こりやすく、キラリティーが失われます。そのため、カルボジイミド縮合剤を使用する場合、より安定した活性中間体を形成し、ラセミ化を減らし、収率を高めるために、カップリング添加剤が必要です。 1973年に伊藤真澄らは、強い酸性と求核性を持ち、カルボジイミドと組み合わせるとラセミ化を抑制できるオキシマを設計しました。 電子吸引置換基を持つシアノキシムオキシムオキシマのpKa = 4.6は、酸性であるため脱離基の可能性があり、ほとんどの溶媒に対する溶解性も良好です。 そのため、アミド結合の合成において、カップリング添加剤としてのオキシマとカルボジイミド縮合剤の組み合わせには一定の利点があります。
カルボン酸は最初にカルボジイミドと反応して活性中間体を形成し、次にオキシマとのアシル転移を経てカルボジイミドが離脱し、次にオキシマ活性エステルがアミノ分解されてアミド化合物を形成します。このプロセスでは、非常に安定した副産物である尿素、ホスホラミド、またはスルホネートの形成が反応の主な原動力です。反応メカニズムを下図に示します。

2012年、Wangチームは、無機塩基の重炭酸ナトリウムと水中のEDCIを組み合わせて使用して、水溶性の2-(tert-ブトキシカルボニルオキシイミノ)-2-シアノ酢酸エチルエステル(グリセロアセトニド-Oxyma)を報告しました。アンモニア保護アミノ酸は、ラセミ化の程度が低く、良好な収率で凝縮します。2013年、CherkupallyチームはOxymaを水酸化カリウムと反応させてカリウム塩を形成しました。これは、ほとんどの有機溶媒によく溶けるだけでなく、水とエタノールにも溶け、EDCIと組み合わせて使用すると優れた触媒活性を示します。EDCIと組み合わせたK-Oxymaによって触媒されたZ-Phg-Pro-NH2の収率は88%、DL / LLは1.2%でした。同年、エルファハムチームは、DICをオキシマと組み合わせて使用した場合、N-アセチルリジンと4-アミノ安息香酸のカップリング反応を触媒したときの収率は88%で、NMRでは不純物は見られなかったと報告しました。DICをHOBtと組み合わせて使用した場合、収率は82%で、NMRでは不純物があることが示されています。この反応を触媒する場合、オキシマの方が収率と純度が高いことがわかります。
2. 環状オキシマ試薬
Jadらは、非常に高い活性を有する6員環を含むHONMのクラスを設計した。カルボジイミドと組み合わせてアミド結合のカップリング反応を行うと、副反応が多く、目的の生成物さえ得られない。これに基づいて、バルビツール酸オキシム誘導体であるOxyma-BとOxyma-Tが設計された。バルビツール酸は比較的安定しており、その活性は中程度であり、その構造にはエステル結合が含まれていないため、エステルによって生成される副産物はない。生成物。それらの活性化時間は非常に短く、一般的に約3分で良好な結果が得られます。Z-Phg-Pro-NH2を触媒する場合、Oxyma-BをDICと組み合わせると、収率は90%に達し、DL / LLは1.0%です。Oxyma-TをDICと組み合わせると、収率は94.7%、DL / LLは0.7%です。同じ縮合剤であるDICをHOAtと組み合わせると、収率は91.5%でほぼ同じですが、DL / LLは3.9%です。Oxyma-BとOxyma-Tの収率はHOAtの収率とそれほど変わりませんが、ラセミ化の抑制に関しては明らかにHOAtよりも優れていることがわかります。

3. Boc、Fmoc、Allocなどで保護されたオキシマ試薬
Boc、Fmoc、Allocなどの保護基は混合無水物を形成することでラセミ化の発生を抑制できるため、ThalluriはBoc-Oxyma、Fmoc-Oxyma、Alloc-Oxymaを合成しました。 Boc-Oxymaを例にとると、カルボン酸を効果的に活性化して、アミド、ペプチド、エステル、チオエーテル、ヒドロキサム酸などを形成できます。副産物は、簡単に除去できる二酸化炭素、2-メチル-2-プロパノール、リサイクル可能な固体オキシマのみです。 アミドの合成を触媒する場合、第一級アミンと第二級アミンの両方の収率は85%を超えます。 キラル化合物Z-Gly-Phe-Val-OMeの合成を触媒する場合、ラセミ化はまったく発生しません。

4.HOW試薬
COMUはモルヒネ尿素構造を含むオキシマヘキサフルオロリン酸であり、一般的な溶媒に対する溶解性と安定性が良好です。 COMUは活性の高いCO結合を含むため、より極性の溶媒中でオキシマとジメチルモルヒネ尿素に加水分解されやすいです。 しかし、アセトニトリルとγ-バレロラクトン中では安定性が良好で、TMPを塩基として触媒すると、反応過程で明らかな色の変化が見られ、反応終了時には反応溶液の赤色が消えて無色になります。 COMUを縮合剤と組み合わせて使用すると、ラセミ化の発生を最大限に抑制でき、副産物は水溶性で除去しやすいです。

5. オキシマホスホニウム塩、ウロニウム塩カップリング縮合剤
オキシマ試薬の継続的な開発により、その用途はますます広範になっています。縮合剤と組み合わせて添加剤として使用できるだけでなく、カップリング縮合剤として単独で使用することもできます。Subirsらはホスホニウム塩カップリング縮合剤PyOxPとPyOxBのクラスを紹介し、Jadらはウロニウム塩カップリング縮合剤TOMBUとCOMBUのグループを報告しました。上記のいくつかの縮合剤はカルボジイミドと組み合わせる必要がなく、組み合わせて使用すると、より良い触媒効果があります。

3. 結論
オキシマおよびその誘導体は、重要な新しいカップリング試薬として、有機合成およびバイオメディカルの分野でますます普及しています。中国科学技術大学化学学部の王鳳良、徐玲らは、オキシマカップリング剤を使用して、糖尿病の治療機能を持つポリペプチド薬リラグルチド(リラグルチド)を樹脂上で一度に合成しました。これは合成効率が高く、このスキームの成功により、化学的方法によるリラグルチドの大規模合成の可能性が開かれました。
ご興味のある関連商品をご紹介いたします。ご不明な点がございましたら、お気軽にお問い合わせください。
ペプチド合成試薬のお見積もりは下記のフォームにご記入ください。