1/25/2022
ニトリルは、炭化水素基とシアノ基を含む炭素原子が結合して形成される有機化合物です。 ニトリルは重要な医薬品合成中間体であり、ニトリルの合成は有機合成の非常に重要な部分です。 脂肪系における求核置換反応は、有機化学者が注目する単位反応の中で最も重要であり、脂肪族ハロゲン化炭化水素やスルホン酸塩と金属シアン化物を求核置換してニトリルを合成する反応が広く用いられている。
ニトリルは、炭化水素基とシアノ基を含む炭素原子を結合して形成される有機化合物です。重要な医薬品合成中間体であり、ニトリルの合成は有機合成の非常に重要な部分です。一般的に、次の方法で製造されます。
1. 脂肪族ハロゲン化炭化水素またはスルホン酸塩と金属シアン化物との求核置換反応
脂肪族系における求核置換反応は、有機化学者が最も注目する単位反応の一つです。その中でも、脂肪族ハロゲン化炭化水素またはスルホン酸塩と金属シアン化物の求核置換反応は、ニトリルの合成に広く使用されています。一般式は次のとおりです。

場合によっては、非ヨウ素化ハロゲン化炭化水素の反応性が十分でない場合は、反応系に KI または NaI を添加してハロゲン化炭化水素の反応性を高める必要があります。反応の例を下図に示します。


2. 金属触媒による芳香族ハロゲン化炭化水素のニトリレーション反応
芳香族ニトリル化合物は、有機合成、特に染料、除草剤、農薬、医薬品、天然物において非常に重要な役割を果たします。反応の例を下図に示します。


3. TMSCNはヒドロキシルをニトリルに変換する
アリール基のベンジル位にあるヒドロキシル基に対して、TMSCN はさまざまな求核反応を起こしてニトリルを合成することができます。反応の例は次のとおりです。


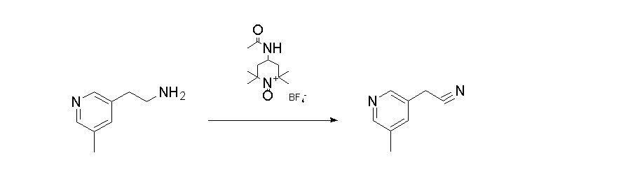
4. アミンの脱水素によるニトリルの製造
アミンからニトリルを調製する方法も多数あります。2-ヨード安息香酸 (IBX)、次亜塩素酸ナトリウム、二クロム酸ニコチンなどの試薬は、さまざまな条件下で実現されます。反応の例は次のとおりです。


5. オキシムの脱水によるニトリルの製造
芳香族アルデヒドまたはアルキルアルデヒドはオキシムに変換され、脱水されて対応するニトリルになります。塩化チオニル、三臭化リン、酸化亜鉛/塩化アセチルなどの脱水試薬と基質をさまざまなシステムで脱水してニトリルを製造します。反応例は次のとおりです。


6.アミドの脱水によるニトリルの製造
アミド脱水によるニトリルの製造は、実験室で最も一般的に使用される方法の 1 つであり、一般的な反応式は次のとおりです。

一般的に使用される脱水剤はP2O5、POCl3、SOCl2、PCl5、T3P、塩化シアヌル、トリフルオロ酢酸無水物などであり、反応例は次のとおりです。



上記の脱水試薬のほとんどは酸性条件下で反応し、酸に敏感な基質には適していません。そのため、バージェス試薬(N-(トリエチルアミノ硫黄アシル)メチルカルバメート)、トリフルオロ酢酸無水物(TFAA)-トリエチルアミン、(COCl)2-NEt3-DMSOなどの、低温でほぼ中性の条件で反応できる、アミドの脱水のためのより穏やかな方法も数多く開発されています。
注目すべきは、バージェス試薬脱水剤の脱水効果が新型コロナウイルス治療薬の合成において注目されていることだ。参加回答は以下の通り。

上記の方法に加えて、実験でニトリルを調製するための非従来的な方法がいくつかあります。たとえば、最初にジアゾ化してからシアン化銅と反応させてアリールニトリルを調製する Sandmeyer 反応、アルデヒドを基質とする Schmidt 反応、Van Leusen 反応、アザ Claisen 転位反応などです。
参照:
1. J. Chem. Soc.、パーキントランス1、1998、3479–3484
2.J.と。化学。 1983、26、608-611
3.バイオオーグ。医学。化学。 11、18、2003、4093-4102。
4. 有機プロセス研究開発 2001, 5, 587-592
5. J.Med。化学。 1990、33、1128-1138
6. 化学薬学雑誌 1991, 89-3201
ご興味のある関連商品をご紹介いたします。ご不明な点がございましたら、お気軽にお問い合わせください。
ペプチド合成試薬のお見積もりは下記のフォームにご記入ください。